Geomagnetic Model Residuals#
Abstract: An exploration of geomagnetic data-model residuals evaluated through VirES (along Swarm orbits).
%load_ext watermark
%watermark -i -v -p viresclient,pandas,xarray,matplotlib
Python implementation: CPython
Python version : 3.11.6
IPython version : 8.18.0
viresclient: 0.12.3
pandas : 2.1.3
xarray : 2023.12.0
matplotlib : 3.8.2
from viresclient import SwarmRequest
import matplotlib.pyplot as plt
One day of residuals#
(data minus a core field model)
request = SwarmRequest()
request.set_collection("SW_OPER_MAGA_LR_1B")
request.set_products(
measurements=["B_NEC"],
models=["CHAOS-Core"],
residuals=True,
sampling_step="PT5S",
auxiliaries=["MLT", "QDLat", "SunZenithAngle"]
)
data = request.get_between(
"2019-01-01", "2019-01-02",
asynchronous=False, show_progress=False
)
ds = data.as_xarray()
ds
<xarray.Dataset> Dimensions: (Timestamp: 17280, NEC: 3) Coordinates: * Timestamp (Timestamp) datetime64[ns] 2019-01-01 ... 2019-01-0... * NEC (NEC) <U1 'N' 'E' 'C' Data variables: Spacecraft (Timestamp) object 'A' 'A' 'A' 'A' ... 'A' 'A' 'A' 'A' Latitude (Timestamp) float64 -17.03 -16.71 ... 44.51 44.19 QDLat (Timestamp) float64 -13.95 -13.64 ... 40.36 40.02 SunZenithAngle (Timestamp) float64 40.87 40.97 41.08 ... 141.0 141.1 Radius (Timestamp) float64 6.819e+06 6.819e+06 ... 6.809e+06 B_NEC_res_CHAOS-Core (Timestamp, NEC) float64 -13.2 -19.44 ... 5.941 5.969 Longitude (Timestamp) float64 -136.0 -136.0 ... 40.87 40.88 MLT (Timestamp) float64 14.8 14.79 14.79 ... 2.419 2.419 Attributes: Sources: ['SW_OPER_MAGA_LR_1B_20190101T000000_20190101T235959_060... MagneticModels: ["CHAOS-Core = 'CHAOS-Core'(max_degree=20,min_degree=1)"] AppliedFilters: []
xarray provides some convenient direct plotting tools through integration with matplotlib:
ds["B_NEC_res_CHAOS-Core"].plot.line(x="Timestamp");

This allows some very compact plotting commands to create complex figures, if you know how! This kind of plotting takes a while to learn and experiment with to get right, but results in short and manageable code.
facetgrid = ds.plot.scatter(x="QDLat", y="B_NEC_res_CHAOS-Core", col="NEC",
s=1, hue="SunZenithAngle", cmap="hot_r", alpha=0.6, linewidths=0)
for ax in facetgrid.axs.flat:
ax.set_facecolor("grey")

(showing that we are in daylight more in the Southern hemisphere, while in darkness in the Northern, because the data is from January - Northern winter)
facetgrid = ds.plot.scatter(x="QDLat", y="B_NEC_res_CHAOS-Core", col="NEC",
s=1, hue="MLT", cmap="twilight_shifted", alpha=0.6, linewidths=0)
for ax in facetgrid.axs.flat:
ax.set_facecolor("grey")

(showing the rapid movement through local time sectors (MLT) when the satellite passes through polar regions)
The above figures show large residuals in the polar regions due to currents in the auroral oval. These cause greater disturbance in the Northward (N) and Eastward (E) components of the magnetic field because of the geometry of the field-aligned currents (FACs) which cause the magnetic disturbance.
Access 1 year of data and models#
Let’s inspect a whole year of data (at 2-minute sampling):
The
B_NEC
vector from Swarm AlphaAll parts of the CHAOS model (core, crust, magnetosphere) evaluated at the same points
MLT, QDLat, and SunZenithAngle which are also evaluated on-the-fly
Filtered to remove some bad data (according to
Flags_F
) and restricted to geomagnetically quiet data (according toKp
)
We fetch the model values themselves as well as the measurements (instead of just the residuals as above) so that we can manipulate all the different components locally.
Warning: This will take several minutes to process
request = SwarmRequest()
request.set_collection("SW_OPER_MAGA_LR_1B")
request.set_products(
measurements=["B_NEC"],
models=["CHAOS-Core", "CHAOS-Static", "CHAOS-MMA-Primary", "CHAOS-MMA-Secondary"],
auxiliaries=["MLT", "QDLat", "SunZenithAngle", "OrbitNumber"],
sampling_step="PT120S"
)
request.set_range_filter("Flags_F", 0, 1)
request.set_range_filter("Kp", 0, 3)
# request.set_range_filter("SunZenithAngle", 100, 180)
data = request.get_between("2019-01-01", "2020-01-01")
ds = data.as_xarray()
# Remove the extra-long Sources list
ds.attrs["Sources"] = "Many"
ds
<xarray.Dataset> Dimensions: (Timestamp: 242598, NEC: 3) Coordinates: * Timestamp (Timestamp) datetime64[ns] 2019-01-01 ... 2019... * NEC (NEC) <U1 'N' 'E' 'C' Data variables: (12/13) Spacecraft (Timestamp) object 'A' 'A' 'A' ... 'A' 'A' 'A' B_NEC (Timestamp, NEC) float64 2.368e+04 ... 4.915e+04 Latitude (Timestamp) float64 -17.03 -9.329 ... 61.38 69.06 QDLat (Timestamp) float64 -13.95 -6.243 ... 57.39 64.82 SunZenithAngle (Timestamp) float64 40.87 43.82 ... 107.4 108.7 Radius (Timestamp) float64 6.819e+06 ... 6.803e+06 ... ... B_NEC_CHAOS-MMA-Secondary (Timestamp, NEC) float64 -0.303 0.9856 ... 1.384 B_NEC_CHAOS-MMA-Primary (Timestamp, NEC) float64 -13.85 1.0 ... 5.657 B_NEC_CHAOS-Static (Timestamp, NEC) float64 -0.06088 ... 0.3901 MLT (Timestamp) float64 14.8 14.72 ... 6.219 6.348 B_NEC_CHAOS-Core (Timestamp, NEC) float64 2.369e+04 ... 4.915e+04 OrbitNumber (Timestamp) int32 28692 28692 ... 34324 34324 Attributes: Sources: Many MagneticModels: ["CHAOS-Core = 'CHAOS-Core'(max_degree=20,min_degree=1)"... AppliedFilters: ['Flags_F <= 1', 'Flags_F >= 0', 'Kp <= 3', 'Kp >= 0']
We can construct xarray.DataArray
’s based on ds
:
ds["B_NEC"]
<xarray.DataArray 'B_NEC' (Timestamp: 242598, NEC: 3)> array([[ 2.36759552e+04, 5.29527560e+03, -1.22484488e+04], [ 2.45740707e+04, 4.69855800e+03, -5.59756670e+03], [ 2.48499010e+04, 4.26007020e+03, 1.28627330e+03], ..., [ 1.40707746e+04, -4.06713000e+01, 4.66820192e+04], [ 9.73485700e+03, 1.19815900e+02, 4.86510752e+04], [ 6.01312440e+03, 2.77378700e+02, 4.91516574e+04]]) Coordinates: * Timestamp (Timestamp) datetime64[ns] 2019-01-01 ... 2019-12-31T23:58:00 * NEC (NEC) <U1 'N' 'E' 'C' Attributes: units: nT description: Magnetic field vector, NEC frame
ds["B_NEC"] - ds["B_NEC_CHAOS-Core"]
<xarray.DataArray (Timestamp: 242598, NEC: 3)> array([[-13.20490099, -19.43980456, -1.79899879], [-10.11391598, -25.12580279, -11.79406653], [ 1.6355894 , -22.68988463, 2.67480456], ..., [ -4.22866161, 1.27735393, 4.63095425], [ -1.8531847 , -0.70951735, 7.84143002], [ 1.73224474, 5.37274857, 4.59632779]]) Coordinates: * Timestamp (Timestamp) datetime64[ns] 2019-01-01 ... 2019-12-31T23:58:00 * NEC (NEC) <U1 'N' 'E' 'C'
… and we can plot these directly:
(ds["B_NEC"] - ds["B_NEC_CHAOS-Core"]).plot.line(x="Timestamp");

We can slice out a particular time window:
# Selects two days
ds.sel({"Timestamp": slice("2019-01-01", "2019-01-02")})
<xarray.Dataset> Dimensions: (Timestamp: 1415, NEC: 3) Coordinates: * Timestamp (Timestamp) datetime64[ns] 2019-01-01 ... 2019... * NEC (NEC) <U1 'N' 'E' 'C' Data variables: (12/13) Spacecraft (Timestamp) object 'A' 'A' 'A' ... 'A' 'A' 'A' B_NEC (Timestamp, NEC) float64 2.368e+04 ... -4.556e+04 Latitude (Timestamp) float64 -17.03 -9.329 ... -78.6 QDLat (Timestamp) float64 -13.95 -6.243 ... -72.04 SunZenithAngle (Timestamp) float64 40.87 43.82 ... 62.83 57.18 Radius (Timestamp) float64 6.819e+06 ... 6.823e+06 ... ... B_NEC_CHAOS-MMA-Secondary (Timestamp, NEC) float64 -0.303 ... 0.03659 B_NEC_CHAOS-MMA-Primary (Timestamp, NEC) float64 -13.85 1.0 ... -12.97 B_NEC_CHAOS-Static (Timestamp, NEC) float64 -0.06088 ... -0.4601 MLT (Timestamp) float64 14.8 14.72 ... 18.85 17.34 B_NEC_CHAOS-Core (Timestamp, NEC) float64 2.369e+04 ... -4.555e+04 OrbitNumber (Timestamp) int32 28692 28692 ... 28723 28723 Attributes: Sources: Many MagneticModels: ["CHAOS-Core = 'CHAOS-Core'(max_degree=20,min_degree=1)"... AppliedFilters: ['Flags_F <= 1', 'Flags_F >= 0', 'Kp <= 3', 'Kp >= 0']
… and subselect according to parts of the data:
ds.where(ds["SunZenithAngle"] > 100, drop=True)
<xarray.Dataset> Dimensions: (Timestamp: 93945, NEC: 3) Coordinates: * Timestamp (Timestamp) datetime64[ns] 2019-01-01T00:24:00... * NEC (NEC) <U1 'N' 'E' 'C' Data variables: (12/13) Spacecraft (Timestamp) object 'A' 'A' 'A' ... 'A' 'A' 'A' B_NEC (Timestamp, NEC) float64 3.741e+03 ... 4.915e+04 Latitude (Timestamp) float64 75.39 82.85 ... 61.38 69.06 QDLat (Timestamp) float64 78.08 85.27 ... 57.39 64.82 SunZenithAngle (Timestamp) float64 104.1 109.9 ... 107.4 108.7 Radius (Timestamp) float64 6.805e+06 ... 6.803e+06 ... ... B_NEC_CHAOS-MMA-Secondary (Timestamp, NEC) float64 1.187 0.2541 ... 1.384 B_NEC_CHAOS-MMA-Primary (Timestamp, NEC) float64 0.3957 -0.8031 ... 5.657 B_NEC_CHAOS-Static (Timestamp, NEC) float64 -1.463 ... 0.3901 MLT (Timestamp) float64 13.4 11.8 ... 6.219 6.348 B_NEC_CHAOS-Core (Timestamp, NEC) float64 3.731e+03 ... 4.915e+04 OrbitNumber (Timestamp) float64 2.869e+04 ... 3.432e+04 Attributes: Sources: Many MagneticModels: ["CHAOS-Core = 'CHAOS-Core'(max_degree=20,min_degree=1)"... AppliedFilters: ['Flags_F <= 1', 'Flags_F >= 0', 'Kp <= 3', 'Kp >= 0']
We can use the above to construct a plot based on part of the data
# Select one day
_ds = ds.sel({"Timestamp": slice("2019-01-01", "2019-01-02")})
# Select nightside data from it
_ds_dark = _ds.where(_ds["SunZenithAngle"] > 100, drop=True)
# Append a custom residual of B-MCO-MLI-MMA
_ds_dark["B_res_full"] = _ds_dark["B_NEC"] - _ds_dark["B_NEC_CHAOS-Core"] \
- _ds_dark["B_NEC_CHAOS-Static"] \
- _ds_dark["B_NEC_CHAOS-MMA-Primary"] \
- _ds_dark["B_NEC_CHAOS-MMA-Secondary"]
_ds_dark.plot.scatter(x="QDLat", y="B_res_full", hue="OrbitNumber", col="NEC",
cmap="viridis", s=1, linewidths=0);

Residuals to model combinations (one month)#
First we adjust the Dataset
so that it contains the custom residuals themselves. We store them as both regular data variables
and as a higher dimensional "B_residuals"
which includes all of them. This is inefficient but is convenient for the plotting tools used below.
def assign_residuals(ds):
# Work on a copy of the Dataset so we don't disturb the original
ds = ds.copy()
# Assign custom residual variables
ds["B-MCO"] = ds["B_NEC"] - ds["B_NEC_CHAOS-Core"]
ds["B-MCO-MLI"] = ds["B-MCO"] - ds["B_NEC_CHAOS-Static"]
ds["B-MCO-MLI-MMA"] = ds["B-MCO-MLI"] - ds["B_NEC_CHAOS-MMA-Primary"]\
- ds["B_NEC_CHAOS-MMA-Secondary"]
# Create a new DataArray to contain all these residual combinations
da = ds["B_NEC"].copy()
da.name = "B_residuals"
# Expand to 3 dimensions for each residual combination to use
da = da.expand_dims({"residuals": 3})
da.coords["residuals"] = ["B-MCO", "B-MCO-MLI", "B-MCO-MLI-MMA"]
# Assign the residual data to the DataArray
da = da.copy()
da.loc[{"residuals": "B-MCO"}] = ds["B-MCO"]
da.loc[{"residuals": "B-MCO-MLI"}] = ds["B-MCO-MLI"]
da.loc[{"residuals": "B-MCO-MLI-MMA"}] = ds["B-MCO-MLI-MMA"]
# Assign the new DataArray to the original Dataset
ds["B_residuals"] = da
return ds
ds = assign_residuals(ds)
ds
<xarray.Dataset> Dimensions: (Timestamp: 242598, NEC: 3, residuals: 3) Coordinates: * Timestamp (Timestamp) datetime64[ns] 2019-01-01 ... 2019... * NEC (NEC) <U1 'N' 'E' 'C' * residuals (residuals) <U13 'B-MCO' ... 'B-MCO-MLI-MMA' Data variables: (12/17) Spacecraft (Timestamp) object 'A' 'A' 'A' ... 'A' 'A' 'A' B_NEC (Timestamp, NEC) float64 2.368e+04 ... 4.915e+04 Latitude (Timestamp) float64 -17.03 -9.329 ... 61.38 69.06 QDLat (Timestamp) float64 -13.95 -6.243 ... 57.39 64.82 SunZenithAngle (Timestamp) float64 40.87 43.82 ... 107.4 108.7 Radius (Timestamp) float64 6.819e+06 ... 6.803e+06 ... ... B_NEC_CHAOS-Core (Timestamp, NEC) float64 2.369e+04 ... 4.915e+04 OrbitNumber (Timestamp) int32 28692 28692 ... 34324 34324 B-MCO (Timestamp, NEC) float64 -13.2 -19.44 ... 4.596 B-MCO-MLI (Timestamp, NEC) float64 -13.14 -21.01 ... 4.206 B-MCO-MLI-MMA (Timestamp, NEC) float64 1.012 -22.99 ... -2.835 B_residuals (residuals, Timestamp, NEC) float64 -13.2 ... ... Attributes: Sources: Many MagneticModels: ["CHAOS-Core = 'CHAOS-Core'(max_degree=20,min_degree=1)"... AppliedFilters: ['Flags_F <= 1', 'Flags_F >= 0', 'Kp <= 3', 'Kp >= 0']
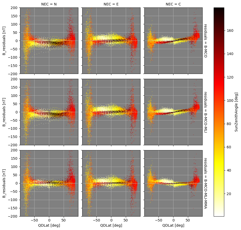
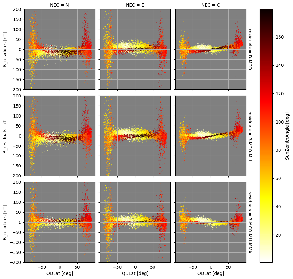
Here we create scatter plots to show the data in different views. We select only the first month - this reduces the crowding on the figures but shows that we should seek different methods to produce summary views of the data for longer time periods.
facetgrid = (
ds.sel({"Timestamp": slice("2019-01-01", "2019-02-01")})
.plot.scatter(x="QDLat", y="B_residuals", col="NEC", row="residuals",
sharex="all", sharey="row", s=1, linewidths=0,
hue="SunZenithAngle", cmap="hot_r"))
for ax in facetgrid.axes.flat:
ax.set_facecolor("grey")
ax.grid()
ax.set_ylim((-200, 200))
/tmp/ipykernel_2656/2614893674.py:6: DeprecationWarning: self.axes is deprecated since 2022.11 in order to align with matplotlibs plt.subplots, use self.axs instead.
for ax in facetgrid.axes.flat:

(
ds
.sel({"Timestamp": slice("2019-01-01", "2019-02-01")})
.plot.scatter(x="Longitude", y="Latitude", hue="B-MCO-MLI-MMA",
s=1, linewidths=0, cmap="Spectral", vmin=-50, vmax=50)
);

(
ds
.sel({"Timestamp": slice("2019-01-01", "2019-02-01")})
.plot.scatter(x="MLT", y="QDLat", hue="B-MCO-MLI-MMA",
s=1, linewidths=0, cmap="Spectral", vmin=-50, vmax=50)
);

Statistical summaries of data over the full year#
(
ds
.groupby_bins("QDLat", 90)
.std()["B-MCO-MLI-MMA"]
.plot.line(x="QDLat_bins")
)
plt.suptitle("Standard deviations");

This shows the large variability in the data over the polar regions